两栖动物是具有重要生态意义且对环境敏感的脊椎动物,然而氯化石蜡(CPs)在两栖动物体内的生物富集机制和营养级传递规律仍不明确。本研究检测了电子垃圾回收区域的两栖动物及其猎物(昆虫)体内短、中链氯化石蜡(S/MCCPs)的残留水平、组织分布和同系物组成特征。采用脂肪酸特征分析(QFASA)方法确定两栖动物的食物组成,并改进生物放大因子(BMFQFASA)评估方法。结果显示,S/MCCPs广泛分布于两栖动物组织中。捕食关系和生理特征影响了三种两栖动物(黑眶蟾蜍、虎纹蛙、泽陆蛙)特定组织积累和种间差异。主成分分析揭示了两栖动物与蜻蜓等昆虫类群之间S/MCCPs同系物组成特征的营养传递模式。除了虎纹蛙食物链中的SCCPs外,S/MCCPs的同系物在两栖动物食物链中均呈现生物放大现象。Log BMFQFASA与对数辛醇水分配系数(Log KOW)呈抛物线关系,与对数辛醇空气分配系数(Log KOA)呈显著正相关,Log KOA能更好地预测S/MCCPs沿两栖动物食物链的生物放大潜力。研究结果为CPs在两栖生境中的环境行为提供了新的见解,并强调在生态风险评估中需考虑物种特异性特征和污染物的理化性质。

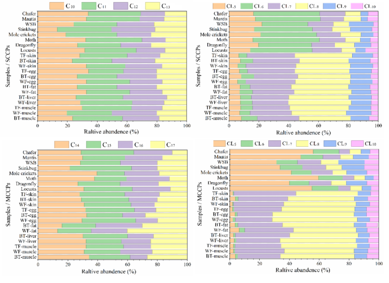
图1. 电子垃圾回收场的两栖动物组织(包括肌肉、肝脏、卵和皮肤)和8种昆虫中S/MCCPs的同系物含量。

图2. S/MCCP同系物的LogBMF与黑眶蟾蜍(BT)食物链中的Log KOW和Log KOA的关系
相关成果以“Biomagnification of chlorinated paraffins in amphibians from an e-waste effected ecosystem, South China: evidence from quantitative fatty acid signature analysis”为题,正式发表于环境科学领域期刊《Environmental Pollution》(中科院2区1)。广西师范大学珍稀濒危动植物生态与环境保护教育部重点实验室为第一完成单位,我院2023级硕士研究生潘鸿燕为论文第一作者,丁洋副教授与华南农业大学郑晓波教授为共同通讯作者,武正军教授、罗孝俊研究员和麦碧娴研究员参与了研究工作。该研究获国家自然科学基金(42307349、42177205)、广西自然科学基金(2025GXNSFBA069500)、广东省基础与应用基础研究基金(2020A1515110684、2024B1515020044)等项目资助。
论文链接:https://doi.org/10.1016/j.envpol.2025.127187
